12 年
手机商铺
公司新闻/正文
433 人阅读发布时间:2022-05-17 11:51
当今社会快速发展,人们的生活压力不断增长,环境污染、饮食作息不规律等因素,导致罹患癌症的人数越来越多。癌症的早期诊断与治疗方法,是现代医学的研究重点。
2021年,华中科技大学同济药学院张晓娟/项光亚团队发现,循环反应介导的自供应H2O2 和O2,可以用于协同化学动力学/癌症饥饿治疗。该研究以Cyclic reactions-mediated self-supply of H2O2 and O2 for cooperative chemodynamic/starvation cancer therapy为题,发表于国际期刊Biomaterials。


基本信息
文章标题:
Cyclic reactions-mediated self-supply of H2O2 and O2 for cooperative chemodynamic/starvation cancer therapy
中文标题:
循环反应介导的自供应H2O2和O2可用于协同化学动力学/癌症饥饿治疗
发布期刊:
Biomaterias
发表时间:
2021
影响因子:
12.479
通讯作者单位:
华中科技大学同济药学院
研究背景
羟基自由基(·OH)介导的化学动力学治疗(CDT),和基于葡萄糖氧化酶(GOx)饥饿治疗(ST),是两种新兴的抗肿瘤方法,分别受酸/H2O2不足和肿瘤缺氧的限制。据此,团队开发了一种脂质体纳米平台,共传递CaO2/Fe(OH)3纳米复合材料和GOx分子,通过互补效应协同CDT/ST。
基于铁离子引发的芬顿反应中,CaO2供应的H2O2不仅能产生·OH,为CDT提供充足的H2O2,还能产生O2,来提高在缺氧条件下GOx的催化效率。同时,增强的ST产生葡萄糖酸和H2O2,能够进一步加强CDT。 通过体外和体内实验,研究人员证明了基于循环芬顿/饥饿反应的相互增强模式,提供了一种新颖有效的抗癌机制,能有效缓解癌症乏氧。
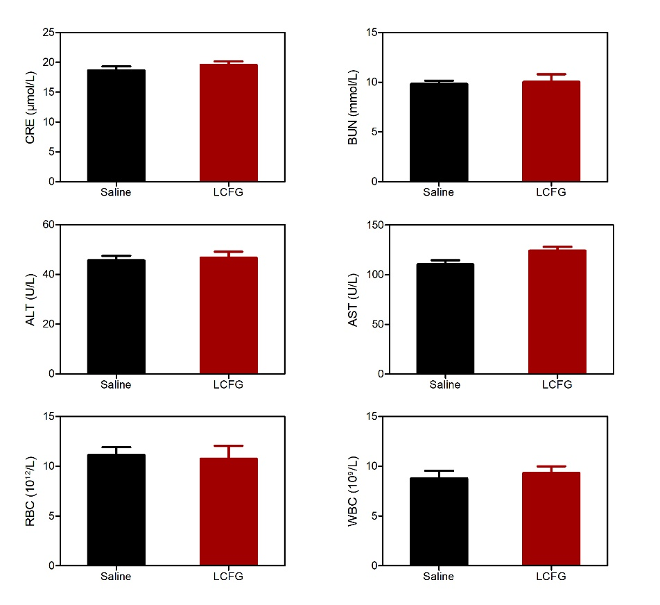
数据展示

图示:注射生理盐水和LCFG,通过生化方法分析小鼠的血液
检测肌酐(CRE)、血尿素氮(BUN)、
丙氨酸氨基转移酶(ALT)、天冬氨酸氨基转移酶(AST)
为了检验脂质纳米材料是否会引起肾毒性和肝毒性,实验人员对小鼠分别注射了生理盐水和LCFG,结果显示,LCFG纳米颗粒没有引起肾毒性和肝毒性。
研究成果

图示:(A) LipoCaO2/Fe(OH)3-GOx的合成过程
(B) 用太极图解释循环芬顿/饥饿反应
步骤1
酸性TME使CaO2/Fe(OH)3纳米复合材料分解,生成H2O2和Fe3+;
步骤2
H2O2与Fe3+反应生成O2和·OH,触发芬顿反应;
步骤3
产生的O2促进了GOx的催化效率,提高了ST对进一步消除肿瘤的疗效。
另外,在饥饿过程中,产生了葡萄糖酸和H2O2,形成酸性和氧化环境,促进CDT产生·OH。
总地来说,一项反应的反应物,可以由另一种物质的“副产物”提供,形成一个类似循环的催化过程。基于体外和体内实验结果,研究人员证明了这种相互强化形式的芬顿/饥饿反应,为CDT/ST协同缓解癌症乏氧,提供了一种新颖而有效的抗癌机制。

文献中使用Elabscience®产品
| 产品货号 | 应用 | 检测指标 | 样本类型 |
| E-BC-K183-M | 生化试剂盒 | BUN | 小鼠血液 |
| E-BC-K188-M | 生化试剂盒 | CRE | 小鼠血液 |
| E-BC-K235-M | 生化试剂盒 | ALT | 小鼠血液 |
| E-BC-K236-M | 生化试剂盒 | AST | 小鼠血液 |