12 年
手机商铺
公司新闻/正文
753 人阅读发布时间:2024-12-18 16:41
上期内容,我们分享了专题内容《疾病专题 | 肝癌生物标志物盘点:解锁早期诊断的新策略》(点击查看推文),重点介绍了肝癌发病机制、检测手段及相关生物标志物,希望大家能有所收获。本期我们来盘点一下结直肠癌的筛查手段,以期为结直肠癌的诊断提供新的视角和思路。
01 结直肠癌简介
近年来随着人们生活节奏的加快,饮食习惯的改变,胃肠道方面的疾病问题日益严重,其中,结直肠疾病较为突出。结直肠癌(Colorectal Cancer , CRC)又称为大肠癌,是常见的恶性肿瘤之一,发病率和死亡率位于全球各类癌症前列。受到环境因素、表观遗传或自身基因突变的影响,结肠和直肠上皮细胞出现异常增生,演化为隐窝病灶或腺瘤性息肉,进而转化为恶性肿瘤[1]。CRC早期无明显症状,常仅见粪便隐血阳性,随病灶发展,会出现排便习惯与粪便形状改变、腹痛、直肠及腹部肿块及贫血、体重减轻等全身症状。
现有流病学研究推测,CRC发病通常与年龄、性别、饮食习惯、烟酒摄入、遗传等因素相关,同时,如慢性炎症、代谢综合征、胰岛素抵抗等相关病症患者会具备更高的CRC发病率。值得注意的是,男性、城市居民以及40-80岁者的人群发病率更高[2]。

图1. 直结肠癌病理学进展[1]
02 结直肠癌常规检测手段
基于结直肠癌高发病率和死亡率、早期症状不显著等特点,CRC被认为是唯yi一种以早期筛查作为关键预防措施的癌症类型,越早发现,患者死亡的风险就越低。
我们查阅整理了多篇文献信息,罗列出了与结直肠癌筛查及诊断最相关的一些手段和相关指标:
1)粪便潜血试验 (Fecal Occult Blood, FOB)[3]
患者消化道出血约5 mL即可获得阳性结果。
2)内窥镜检测[3]
需要病理组织活检,可直接观察病变的位置、大小和形状。
3)影像学检测[4]
包含CT、X-射线、NMR、PET-CT等,可直观显示病变大小、肿瘤解剖部位、与邻近器官关系等病理特征,对CRC诊断、术前分析甚至复发评估都具备指导意义。
4)常用诊断指标
l 癌胚抗原(Carcinoembryonic Antigen, CEA)
血清CEA表达水平是目前结直肠癌术前诊断、分期、指导治疗和预测复发转移中最常用、最有价值的肿瘤标志物。
l 糖类抗原CA19-9
CA19-9在一些消化道癌症均可升高,可作为结直肠癌辅助检测指标之一。
l 糖类抗原CA24-2
CA24-2是胃肠道癌症的肿瘤标志物,与CEA的检测有互补作用。
目前常用CEA、CA19-9及CA24-2多指标联合检测进行CRC筛查,灵敏度高于单独检测,对疾病疗效评估及监测具有重要的临床意义[5]。
03 结直肠癌的其他新型诊断指标
除以上指标外,近年来,国内外各个科研团队也在CRC的发病机制、新生物标志物的筛选及治疗药研发中,付出了诸多努力。
1)Septin 9(SEPT9)
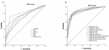
是一种编码Septin 9的肿瘤抑制基因,在CRC通路的早期发生突变,可通过检测SEPT9基因甲基化(mSEPT9)判断。Lu Long团队[6]通过监测多例结直肠癌血液中mSEPT9表达水平,发现结直肠癌中mSEPT9的阳性率明显高于结直肠息肉组或健康对照组(P<0.001),与CEA、CA19-9检测结果相关性较高。本研究另通过受试者特征(ROC)曲线分析评估发现mSEPT9在CRC诊断方面敏感度更高。


图2. CRC患者血浆mSEPT9水平及ROC曲线分析
2)黏结蛋白聚糖2(Syndecan-2, SDC-2)
玉林第一人民医院王东旭团队[7]对Septin9、SDC2、粪便潜血(FOB)和四种肿瘤标志物——癌胚抗原(CEA)、碳水化合物抗原199(CA199)、糖类抗原125(CA125)和碳水化合物抗原724(CA724)七种指标的组合使用的受试者操作特征(ROC)曲线评估诊断性能,结果表明,SDC2的检测对结直肠癌癌症表现出高灵敏度,当与Septin9联合检测时,早期结直肠癌癌症的诊断准确性显著提升。

表1. 四种肿瘤标志物、FOBT、SDC2、Septin9基因甲基化和七项指标的检测结果


图3. (a)利用FOB、Septin9甲基化、SDC2甲基化和四种肿瘤标志物诊断癌症的ROC曲线;(b)使用FOB、四种肿瘤标志物、Septin9和SDC2甲基化以及组合的七种指标的结直肠癌癌症的 ROC曲线
3)血管内皮生长因子(Vascular Endothelial Growth Factor, VEGF)
Ana Nogués 团队[8]通过检测结肠癌及直肠癌患者肿瘤组织,及切除手术前、切除手术后3/6/9、12个月后血浆中VEGF表达情况。结果表明,两种癌症肿瘤组织中VEGF基因表达均高于周围非肿瘤组织,手术切除3-12月,患者血浆中VEGF含量均呈下降趋势。推测VEGF可作为结直肠癌潜在的辅助预后指标。


图4. CRC患者肿瘤切除手术前、手术后3、6、9-12个月的血浆VEGF水平变化
结直肠癌的早期诊断对提高患者生存率至关重要。随着新型生物标志物的发现,我们期待能够更有效地筛查和诊断CRC,从而改善患者的预后和生活质量。
参考文献:
[1] Pinheiro M, Moreira DN, Ghidini M. Colon and rectal cancer: An emergent public health problem. World J Gastroenterol. 2024 Feb 21;30(7):644-651.
[2] Eng C, Yoshino T, Ruíz-García E, et al. Colorectal cancer. The Lancet, Volume 404, Issue 10449, 294 – 310
[3] Sun Y. Advanced course in clinical oncology.1. Beijing:People’s Military Medical Press,2014:889
[4] Duan B, Zhao Y, Bai J, et al. Colorectal cancer: an overview. Exon Publications, 2022: 1-12.
[5] Rao H, Wu H, Huang Q, et al. Clinical Value of Serum CEA, CA24-2 and CA19-9 in Patients with Colorectal Cancer. Clinical laboratory, 2021 (4).
[6] Sun, Q., Long, L. Diagnostic performances of methylated septin9 gene, CEA, CA19-9 and platelet-to-lymphocyte ratio in colorectal cancer. BMC Cancer 24, 906 (2024).
[7] Zou, CS, Xie, YL, Wang, DX, et al. The value of SDC2 and Septin9 combined with serum tumor markers in early diagnosis of colorectal cancer. Int J Colorectal Dis 39, 142 (2024).
[8] Nogués A, Gallardo-Vara E, Zafra MP, Mate P, Marijuan JL, Alonso A, Botella LM, Prieto MI. Endoglin (CD105) and VEGF as potential angiogenic and dissemination markers for colorectal cancer. World J Surg Oncol. 2020 May 20;18(1):99.