12 年
手机商铺
公司新闻/正文
31 人阅读发布时间:2026-03-30 16:02
线粒体是真核细胞中负责能量代谢和信号转导的关键细胞器,其功能完整性直接影响细胞稳态。一旦线粒体功能失调,就可能引发神经退行性疾病、代谢综合征、癌症及衰老等多种病理过程。线粒体作为决定细胞命运的核心细胞器,它的功能状态如何精准评估?
要解答这一问题 ,精准的线粒体功能检测技术便成了解析细胞生理与病理机制的关键,更是基础科研和新药研发的重要突破口 。在各种检测方法中,基于荧光探针的检测技术凭借高灵敏度、实时监测能力和空间分辨优势,已成为该领域的核心工具。


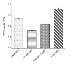
图2. 使用ATP试剂盒(E-BC-F300)检测多种细胞中ATP含量
|
线粒体状态 |
膜电位水平 |
JC-1存在形式 |
荧光颜色 |
发射波长 |
|
功能正常 |
较高 |
形成J-聚集体 |
红色荧光 |
~590 nm |
|
功能受损 |
较低 |
以单体形式存在 |
绿色荧光 |
~529 nm |

核心方法:
钙黄绿素(Calcein-AM)淬灭法,操作简单且特异性较强。
检测原理:
Calcein-AM负载细胞后,被胞内酯酶水解为绿色荧光产物钙黄绿素;同时加入钴离子(Co2+),淬灭胞质中的钙黄绿素。
结果观察:
mPTP关闭(正常状态):线粒体内的钙黄绿素受保护,荧光信号稳定。
mPTP开放(受损状态):Co2+进入线粒体基质,淬灭内部钙黄绿素,荧光信号衰减。
通过监测荧光衰减的动力学变化,可直接反映mPTP开放程度,是研究线粒体凋亡途径的关键手段。

图4. 使用mPTP试剂盒(E-BC-F064)检测Hela细胞的荧光显微镜数据
(1×Calcein,1×CoCl2,1×Ionomycin)
检测原理
通过实时监测密封微腔内溶解氧浓度变化,直接反映细胞或线粒体的呼吸功能——呼吸消耗氧气越多,线粒体功能越活跃。
核心技术要点
利用氧敏感性磷光探针,其磷光寿命/强度与氧分压成反比;细胞呼吸消耗氧气后,探针磷光信号增强,通过荧光酶标仪实时记录荧光信号,即可计算OCR。结合寡霉素、FCCP、鱼藤酮/抗霉素A等代谢抑制剂,可进一步解析基础呼吸、ATP合成耗氧、最大呼吸能力等参数,实现线粒体呼吸功能的精准细分。

图5. 使用OCR荧光法试剂盒(E-BC-F070)检测2 μM FCCP,1 μM Oligomycin,1 μM antimycinA分别处理后A549的OCR
相较于传统生化与比色法,荧光检测技术在评估线粒体功能时,展现出不可替代的优势,更好适配科研与药物研发的需求:
超高灵敏度
可检测nmol甚至pmol水平的分析物变化,捕捉线粒体功能的细微异常;
实时动态监测
可在活细胞中连续、无创记录功能参数的动力学过程,避免细胞裂解带来的结果偏差;
空间分辨率高
借助共聚焦显微镜,可定位并定量单个细胞、甚至单个线粒体内的信号,实现精准定位;
多重检测兼容
使用不同发射光谱的探针,可在单次实验中并行监测多个参数(如ΔΨm与ROS、Ca2+与ROS),提升实验效率;
适配高通量筛选
兼容96孔板格式,满足药物初筛的大规模需求。
|
货号 |
产品名称 |
|
E-BC-F005 |
Reactive Oxygen Species (ROS) Fluorometric Assay Kit (Red) |
|
E-BC-F008 |
Mitochondrial Superoxide Fluorometric Assay Kit |
|
E-BC-F064 |
Mitochondrial Permeability Transition Pore (mPTP) Fluorometric Assay Kit |
|
E-BC-F070 |
Enhanced Oxygen Consumption Rate (OCR) Fluorometric Assay Kit |
|
E-BC-F100 |
Fluo-4 Calcium Fluorometric Assay Kit |
|
E-BC-F300 |
ATP Assay Kit |
|
E-BC-K138-F |
Reactive Oxygen Species (ROS) Fluorometric Assay Kit (Green) |
|
E-CK-A301 |
Mitochondrial Membrane Potential Assay Kit (with JC-1) |
|
E-CK-A401 |
MitoBright Green Probe Assay Kit |
|
E-CK-A402 |
MitoBright Red Probe Assay Kit |
|
E-CK-A403 |
MitoBright Deep Red Probe Assay Kit |
荧光检测技术凭借高灵敏度、实时动态监测、高空间分辨率等优势,已成为线粒体功能评估的核心工具,广泛应用于基础科研与药物研发全流程。其可通过ATP生成检测、ROS检测、线粒体膜电位检测、mPTP检测及耗氧率检测五大核心策略,多维度解析线粒体产能、氧化应激、内膜完整性等关键功能参数,精准捕捉线粒体功能细微异常。
在药物研发中,该技术可实现线粒体靶点验证、先导化合物筛选、药物作用机制解析、临床前毒性预警及药效学评估,为靶向线粒体疗法的创新突破提供关键支撑,同时也为神经退行性疾病、癌症等相关病理研究提供高效检测方案。
关注Elabscience®获取更多细胞代谢干货知识、实验技巧与产品资讯,助力你的科研与研发工作高效推进!
参考文献
[1] Rickard, B. P., Overchuk, M., Chappell, V. A., et al. Methods to Evaluate Changes in Mitochondrial Structure and Function in Cancer. Cancers, 2023, Apr 29;15(9):2564.
[2] Sivandzade, F., Bhalerao, A., Cucullo, L. Analysis of the Mitochondrial Membrane Potential Using the Cationic JC-1 Dye as a Sensitive Fluorescent Probe. Bio-protocol, 2019, Jan 5;9(1):e3128.